Free ASVAB Practice Test 2025



The ASVAB is a multiple-choice cognitive test administered by the United States Military Entrance Processing Command. The purpose of the ASVAB is to determine qualifications for enlistment in the U.S. Armed Forces.

This page includes a Free ASVAB practice test covering all ASVAB topics, helping you start preparing for the test.

Visit our tailored resources on How to become an Air Traffic Controler.

Free ASVAB Practice Test

Kemi, ASVAB Test Expert at JobTestPrep
Have a question? Contact me at:

ASVAB Arithmetic Reasoning Sample Questions

With 15 questions to solve in 55 minutes, (CAT-ASVAB) and 30 questions in 36 minutes (P&P ASVAB) – there’s a significant difference – which can be explained by the increasing difficulty in the computerized version. Let’s look at a few different examples.

ASVAB Arithmetic Reasoning Question 1

It took Sarah six minutes to drive to the post office, eight minutes to find parking and five minutes to choose stationery; she then waited on line for seventeen minutes. How many minutes passed from the time Sarah left her house until she completed her errand at the post office?

Wrong

Wrong

Correct!

Wrong

View Explanation

The correct answer is C: 36

If we add up all of the time that it took Sarah from the time she left her house until she completed her errand, we will find that 6+8+5+17 = 36.

ASVAB Arithmetic Reasoning Question 2

There are six printers at "Today's news" newspaper, all printing at the same constant rate. When working together, the six printers can complete the printing of tomorrow's newspaper within 12 hours.

If the owner wishes to reduce the printing time to 8 hours, how many other printers will he need to purchase, each with the same constant rate?

Wrong

Correct!

Wrong

Wrong

View Explanation

The correct answer is B: three additional printers.

The approach to this type of question is to work in two steps:

(1) Finding the individual rate of work per printer

(2) Finding the additional number of printers needed

Step 1- The work rate of 6 printers together is one newspaper/ 12 hours => 1/12. Since each printer works at the same rate, we can say that each printer contributes 1/6th of the total work rate, meaning: (1/12)/6 = 1/72, or one printer/ 72 hours.

Step 2- We will insert what we have learned in Step 1 and the required time (hours) into the basic formula:

Work = rate*time.

1 newspaper = number of printers*(1/72) *8 hours

=> 1 = number of printers*1/9

=> Number of printers = 9

The number of printers includes the original six printers + the additional printers required. Thus, 9 - 6 = 3 additional printers. 

ASVAB Arithmetic Reasoning Question 3

What was its original price if a shirt costs $20 after a 20% discount?

Wrong

Correct!

Wrong

Wrong

View Explanation

The correct answer is B.

Let's assume the original price is X. 80% of X (because there's a 20% discount) is $20. So, 0.8X = $20. Dividing both sides by 0.8 gives X = $25.

ASVAB Arithmetic Reasoning Question 4

The scalding summer sun dried up 983.45 gallons of water from the 4078 gallons that were in the tank. How many gallons of water remain?

View Explanation

The correct answer is B: 5051.45.

Straightforward solution: Use long subtraction to arrive to 4078-983.45=3094.55. Ah, and you might as well pack your stuff, because test time is probably over.

Pick a trick: With this type of question, one must find ways to dismiss answer choices. Firstly, you can narrow the possible answer choices to B and C, since subtraction of 0.45 from a whole number will result in 0.55. Secondly, determine whether the correct answer is higher or lower than 3100, since this is the rounded up number close to both possibilities. Since it is lower than 3100 – mark B and move on.


Arithmetic Reasoning questions assess basic calculations and simple formulas while reading through passages. The most important key to success in this section is the ability to quickly build a formula with all the relevant data or use the answers to assess which applies to the data in the question.

Practice different answering methods while seeing hundreds of different questions in time restrictions in our All Inclusive ASVAB PrepPack.

Let’s continue to the first of two verbal sections of the ASVAB and AFQT – Word Knowledge.


ASVAB Mathematics Knowledge Sample Questions

With 15 questions to solve in 31 minutes (CAT-ASVAB) and 25 questions in 24 minutes (P&P ASVAB), you will have a minute or two for each question. That means solid control of mathematical formulas and quick calculations are keys to success. Let’s look at a few examples.

ASVAB Mathematics Knowledge Question 1

For any value of x, (x - 4)(x + 4) = ?

Wrong

Wrong

Wrong

Correct!

Wrong

View Explanation

The correct answer is D: x2 - 16

This is solved using the connection a2 - b2 = (a + b)(a - b).
Hence (x - 4)(x + 4) = x2 - 16.

If you do not remember the formula by heart this can also be solved by opening the brackets:
(x - 4)(x + 4) = x2 + 4x - 4x – 16 = x2 - 16

ASVAB Mathematics Knowledge Question 2

7.4 × 102 decimetres equal:

Wrong

Wrong

Correct!

Wrong

Wrong

View Explanation

The correct answer is C: 7,400 centimeters.

A decimetre is a tenth of a meter or ten centimeters.
7.4 × 102 = 740 (decimetres).
740 × 10 = 7,400 (centimetres).

ASVAB Mathematics Knowledge Question 3

 If y=2x+3, what is the value of y when x = 5?

Wrong

Correct!

Wrong

Wrong

View Explanation

The correct answer is B: 13

Plugging in x = 5, we get y=2(5)+3=10+3=13.

ASVAB Mathematics Knowledge Question 4

The table is 90 cm long. What is the length of the table in metres?

Wrong

Wrong

Wrong

Correct!

View Explanation

The correct answer is D: 0.9

100 centimetres (cm) are 1 metre. Therefore, we should divide the length of the table in centimetres by 100 for the length in metres.
90 ÷ 100 = 0.9


As can be seen, Mathematical Knowledge assesses basic arithmetic operations, mathematical formulas, working with units of measurement, and more. With 16 questions in 20 minutes (CAT-ASVAB) and 25 questions in 24 minutes (P&P ASVAB) – you have about a minute for each question. That means solid control of mathematical formulas and quick calculations are keys to success. Mathematical questions are best improved by repetitive practice – and you can find many practice tests, simulations, and guides in our All Inclusive ASVAB PrepPack.

 

Next, we’ll cover another mathematical section –Arithmetic Reasoning. Approaching word problems that require calculations to succeed poses new challenges, different from those described in MK.  Let’s continue!


ASVAB Word Knowledge Sample Questions

This section of the test assesses your vocabulary and grammar skills. With 15 questions in 9 minutes (CAT-ASVAB) and 35 questions in 11 minutes (P&P ASVAB), the questions are clearly on a very narrow time frame.

ASVAB Word Knowledge Question 1

HUNGRY is the opposite of:

Wrong

Correct!

Wrong

Wrong

View Explanation

The correct answer is B: Full.

Hungry is a word used to describe someone who has a desire for food, while full is a word used to describe someone whose appetite is satisfied.

ASVAB Word Knowledge Question 2

The new program was sanctioned by the board of education.

You can replace the bold word with:

Wrong

Correct!

Wrong

Wrong

View Explanation

The correct answer is B: Authorized.

The word sanctioned has two meanings: (1) An action that has been given official approval (in this case, by the educational board), (2) The imposition of a sanction or a penalty.

Option B (authorized) adheres to the first meaning.

ASVAB Word Knowledge Question 3

Which of the following is an antonym for "benevolent"?

Correct!

Wrong

Wrong

Wrong

View Explanation

The correct answer is A: Malevolent

"Benevolent" means showing kindness or goodwill. "Malevolent" means having or showing a wish to harm others, making it the antonym.

ASVAB Word Knowledge Question 4

Vend most nearly means:

Wrong

Wrong

Correct!

Wrong

View Explanation

The correct answer is C: Peddle

Vend means to sell (you are probably familiar with vending machines which sell food or drinks). Peddle refers to people who sell by going from door to door, offering their goods. Thus, Peddle is close in meaning to vend.


The Word Knowledge section contains three types of questions: Synonyms, Antonyms, and Context. Reading, attempting to use different words in different contexts – and of course, specific, and broad practice is the key to success. Find hundreds of Work Knowledge questions with detailed explanations in our All Inclusive ASVAB PrepPack.

Let’s move on to the final section to be included in the AFQT score – another verbal section, Paragraph Comprehension. While WK assesses straightforward knowledge, PC assess your ability to understand, summarize and apply reason for short paragraphs of text.


ASVAB Paragraph Comprehension Sample Questions

With 10 questions in 27 minutes (CAT-ASVAB) and 15 questions in 13 minutes (P&P ASVAB, the questions may vary – as it is more possible that the questions in the P&P version may contain more than a single question per text – requiring less time to read and understand a new text.

ASVAB Paragraph Comprehension Question 1

Read the following passage:

The brain is our most complex organ, in terms of connections and microscopic structure. It is heterogeneous, with many areas and networks differing from one another in function. And, what is more, the brain is a ‘hidden entity’, embedded in an envelope made of bones, the skull. Brain imaging really came to age in medicine 40 years ago, thanks to computers. The technologies of structural anatomy like computerized tomography and magnetic resonance imaging have brought about a revolution in neurology by showing the lesion and its topography.

What is not true about the human brain?

Wrong

Wrong

Wrong

Correct!

View Explanation

The correct answer is D: The largest organ

Note that this question asks what is NOT found in the passage. Reviewing the features of the brain mentioned:

Heterogeneous (answer B), microscopic structure (A), and hidden entity (C) are all mentioned. Only the fact that it is our largest organ (D) isn't mentioned; so, this is the correct answer.

ASVAB Paragraph Comprehension Question 2

Read the following passage:

Pay television is now under threat, especially in America. Prices have been driven so high at a time of economic malaise that many people cannot afford it. Disruptive, deep-pocketed firms like Amazon and Netflix lurk, whispering promises of internet-delivered films and television shows for little or no money. It is unclear whether the lure of such alternatives or poverty is causing people to cancel their subscriptions. But the proportion of Americans who pay for TV is falling.

How many possible explanations are offered for pay-TV's fall?

Wrong

Wrong

Correct!

Wrong

View Explanation

The correct answer is C: Two

The passage offers two explanations for the decline of pay TV: the rise of internet-delivered films and television firms such as Netflix and Amazon and the high rate of subscriptions.

ASVAB Paragraph Comprehension Question 3

"The library is a place of learning. Beyond books, it offers resources like computers and classes to the community."

Which statement is true based on the paragraph?

Wrong

Correct!

Wrong

Wrong

View Explanation

The correct answer is B: The library offers computers to the community

The paragraph mentions that the library offers resources like computers to the community.

ASVAB Paragraph Comprehension Question 4

Read the following passage:

Greece – the first EU country of entry for many thousands of asylum-seekers does not have – and has not had for several years – asylum-determination procedures or adequate reception conditions in line with international law. It has also not ensured that such asylum-seekers are treated with respect for their dignity on arrival. Many of those seeking international protection have been detained in horrendous conditions, then released and left to live destitute on the streets. Some have been removed from Greece despite the fact that such removal placed them at real risk of further grave human rights violations.

What did Greece's inadequate policies prevent from people on their arrival?

Correct!

Wrong

Wrong

Wrong

View Explanation

The correct answer is A: Basic international law rights

Many of those seeking international protection have been detained in horrendous conditions, then released and left to live destitute on the streets. Some have been removed from Greece despite the fact that such removal placed them at real risk of further grave human rights violations.


Paragraph Comprehension questions assess your ability to quickly read, understand and apply reason/summarization/responses to different questions regarding short text. While reading books and articles is a great way to improve your abilities – it is possible to shorten your answering time and improve your scores using different methods, such as reading the question first and then looking for the answer in the text. Find hundreds of Paragraph Comprehension texts and questions with detailed explanations in our All Inclusive ASVAB PrepPack.


The ASVAB Scores

We recommend that future ASVAB test takers take a step back before diving into practice and understand the scoring system of the ASVAB. The ASVAB scores are separated into two parts: The AFQT score and the Line score:

The AFQT Score

The AFQT Scores: Include four sections – Mathematical Knowledge (MK), Arithmetic Reasoning (AR), Word Knowledge (WK), and Paragraph Comprehension (PC). 

  • Air Force – 31

Want to join the Air Force? Please follow the link and read more about it ASVAB Air Force.

  • Army – 31

Want to join the Army? Please follow the link and read more about it ASVAB Army.

  • Marine Corps – 32

Want to join the Marine Corps? Please follow the link and read more about ASVAB Marine Corps.

  • Navy – 35

Want to join the Navy? Please follow the link and read more about ASVAB Navy.

  • Coast Guard - 40

Want to join the Coast Guard? Please follow the link and read more about it ASVAB Coast Guard.

 

The aforementioned required scores are for High School Seniors / High School Diploma Recipients. For GED Holder, the minimal score for all the branches is 50.



The Line (Composite) Scores

The line (Composite) Scores: a combination of scores from various individual ASVAB subtests. These composite scores are used to determine qualification for specific military jobs, known as Military Occupational Specialties (MOS) in the U.S. Army or ratings in the Navy, for example.

Each branch of the U.S. military has its own set of line scores calculated from specific combinations of ASVAB subtests. These composite scores provide more detailed information about a candidate's aptitudes in particular areas beyond the general measure provided by the AFQT score.

Subjects

Line Scores

AS+AR+MC

Combat – CO

AR+MK+VE

Clerical- CL

AR+ GS+ EI+ MK

Electronics- EL

AS+ GS+ EI+ MK

General Maintenance- GM

AR+ MK+ MC

Field Artillery- FA

AS+ EI+ MC

Mechanical Maintenance- MM

AR+ VE

General Technical- GT

AS+ MC+ VE

Operators and Food- OF

GS+ MC+MK+ VE

Skilled Technical- ST

AR+ AS+ MC+ VE

Surveillance and Communications- SC

Reminder: 

AS - Auto & Shop Information 

GS -General Science 

AR - Arithmetic Reasoning 

MC - Mechanical Comprehension 

VE - Verbal Expression(combination of the grades of PC+WK) 

EI - Electronics Information 

MK - Mathematics Knowledge 

PC - Paragraph Comprehension 

WK - Word Knowledge 

The higher your score in the composite scores – the better the chances to qualify for more prestigious and demanded positions. Therefore, we recommend focusing your practice on specific sections which are part of your preferred line score. 

Understand your ASVAB score with our ASVAB Scores guide.


Need more info? Visit our ASVAB Scores page


We will now continue to the additional five sections which are included in the composite score. Make sure to check in the above table which sections are relevant to your preferred position and begin your practice. We will start with General Science, which assesses your basic knowledge in various scientific fields.


ASVAB General Science Sample Questions

General Science offers a broad overview of both the physical and biological sciences. With 15 questions in 12 minutes (CAT-ASVAB) and 25 questions in 11 minutes (P&P ASVAB) both versions provide 30 seconds or less for each question. Let’s dive in with a few example questions.

ASVAB General Science Question 1

What does an amperemeter measure?

Wrong

Correct!

Wrong

Wrong

View Explanation

The correct answer is B: The current

An amperemeter measures amperes (A). Since the ampere measures current, the correct answer is B.

ASVAB General Science Question 2

A ball thrown horizontally slows due to:

Wrong

Wrong

Wrong

Correct!

View Explanation

The correct answer is D: Friction

Mass: Mass is a measure of the amount of matter in an object or substance, typically expressed in units like kilograms or grams.

Gravity: Gravity is the natural force that attracts objects toward the center of the Earth or toward any other massive body.

Inertia: Inertia is an object's inherent resistance to changes in its state of motion or rest.

Friction: Friction is the force that opposes the motion of two surfaces sliding or trying to slide across each other. 

ASVAB General Science Question 3

Which of the following is NOT a mammal?

Wrong

Wrong

Wrong

Correct!

View Explanation

The correct answer is D: Shark

While whales, dolphins, and bats are all mammals, sharks are fish, and therefore, not mammals.

ASVAB General Science Question 4

Which of the following elements is essential for the formation of haemoglobin in the blood?

Correct!

Wrong

Wrong

Wrong

View Explanation

The correct answer is A: Iron

Iron is a key component of haemoglobin, a protein in red blood cells responsible for transporting oxygen throughout the body.


General Science questions vary and require vast, yet basic, knowledge in the physical, chemical, biological, and other common scientific fields. You can find many General Science questions with explanations in our All-Inclusive ASVAB PrepPack.

 

The next section, Mechanical Comprehension, includes mostly Physical subjects in basic mechanics. Unlike General Science – this section may include a large portion of calculative questions regarding common equations in mechanics. Let's continue.


ASVAB Mechanical Comprehension Sample Questions

Mechanical Comprehension delves into principles associated with simple machines, structural support, properties of materials, and mechanical motion. With 15 questions in 22 minutes (CAT-ASVAB) and 25 questions in 19 minutes (P&P ASVAB), you must have a great knowledge of the basic formulas and concepts to answer knowledge questions quickly and have enough time to calculate.

ASVAB Mechanical Comprehension Question 1

A hockey puck is sliding on an infinite plane of ice. The friction between the puck and the ice is zero, as well as the friction between the puck and the air. What will affect the time required for the hockey puck to come to a full stop?

Wrong

Wrong

Wrong

Correct!

View Explanation

The correct answer is D: Nothing, it will never stop.

With no friction, the puck is sliding with no forces applied to it apart from its weight. Since the direction of the weight is downwards, it will not affect the velocity which is perpendicular to it (the ice is a horizontal plane). With no other forces applied to the puck, it will never stop due to its inertia (its resistance to a change in its motion). According to inertia, the puck will slide forever without a decelerating force.

ASVAB Mechanical Comprehension Question 2

Observe the following diagram:

A perfectly smooth tube with a constant rate of flow of water

A perfectly smooth tube with a constant rate of flow of water is given. A segment of the tube with two pressure gauges attached is shown in the diagram below.

Which pressure gauge will indicate a higher value?

Wrong

Correct!

Wrong

Wrong

View Explanation

The correct answer is B: 2

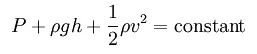
Following Bernoulli's principle, in a steady flow of a fluid (with negligible compression due to pressure and negligible friction due to viscous forces - like water), we have the equation:

Bernoullis Principle

where P = pressure, ρgh = potential energy per volume, ½ρv2 = kinetic energy per volume.

Since the area of the tube's cross-section is unchanged throughout, and the rate of water flow is constant, we may conclude that the velocity of the water remains constant (Rate of flow = Velocity*Area). Thus, the kinetic energy remains constant throughout the tube.
The pressure gauges are situated at an identical height; therefore, their potential energy is equal. According to Bernoulli’s principle, the pressure at point 1 must be equal to the pressure at point 2.

ASVAB Mechanical Comprehension Question 3

A pulley system is used to:

Wrong

Wrong

Wrong

Correct!

View Explanation

The correct answer is D: Change the direction or magnitude of a force

Pulleys are mechanical devices that change the direction or magnitude of a force applied to a load.

Observe the following diagram:

ASVAB Mechanical Comprehension Question 4

When the following crate is slipping down the ramp, which of the following arrows describes the direction of the crate's friction?

Mechanical Question Diagram - ASVAB

Wrong

Wrong

Wrong

Correct!

View Explanation

The correct answer is D.

The force of friction is always in the opposite direction to the object's movement. Thus, when the crate is sliding downhill (A), the direction of the friction will be uphill (D).

Let's review the other arrows:

(A) represent a component of the crate's weight. This component acts as the motivating force that causes the crate to slide downhill.

(C) represents a component of the crate's weight, in the direction of gravity. Due to this force the crate adheres to the ramp's surface.

(B) represents a force called the normal force. This force is perpendicular to the surface and prevents the crate from penetrating into the surface. It is identical in size and opposite in direction to C.


Mechanical Comprehension questions may include either knowledge of basic rules and concepts in mechanics and physics or the ability to utilize them for calculations, like the second example. You can find a comprehensive Mechanics guide, questions, and detailed explanations in our All-Inclusive ASVAB PrepPack.

Next up is Electronics Information. Very similar to Mechanical Comprehension – it encompasses the electricity portion of physics in the ASVAB test. Concepts, knowledge, tools, and calculations must be performed in this section.


ASVAB Electronics Information Sample Questions

Electronics Information focuses on electronic systems and devices' fundamental principles and concepts. With 15 questions in 10 minutes (CAT-ASVAB) and 20 questions in 9 minutes (P&P ASVAB), your time frame is very narrow, and you must come to the test with broad knowledge of electricity concepts, as well as practice many calculation questions prior, and be able to perform them as quickly as possible.

ASVAB Electronics Information Question 1

In which direction does the electric current flow in an electric circuit?

Wrong

Correct!

Wrong

Wrong

View Explanation

The correct answer is B: From the positive to the negative terminal

Conventional current is designed to flow in the same direction as positive charges. In metals, where the charge carriers (electrons) are negative, conventional current flows in the opposite direction of the electrons. In conductors, where the charge carriers are positive, conventional current flows in the same direction as charge carriers.

Options C and D present the exact opposite of that reasoning.

In a common electrical wired circuit, negatively charged electrons flow from the negative terminal to the positive terminal. According to the above definition, the electric current flows in the oppo

ASVAB Electronics Information Question 2

Observe the following diagram:

Electrical Question - ASVAB

A force of 10 N(Newton) compresses two identical springs in parallel for 8 cm. What will be the total distance that four identical springs in series are compressed?

Wrong

Wrong

Wrong

Correct!

View Explanation

The correct answer is D: 64 cm.

An external force exerted on a spring causes it to compress or extend.

The distance of compression or extension is directly and linearly proportional to the force exerted on the spring, i.e., doubling the force causes the spring to stretch or compress twice as much.

When identical springs are connected in parallel, the applied force is divided equally between them. Consider the image below:

asvab elec q2 an1

Each of the two springs connected in parallel is subjected to a force of 5 N that compresses each spring by 8 cm (1). On the other hand, had only one spring been subjected to a 10N force, it would compress by 16 cm (2).

When identical springs are connected in series, each spring's entire force is applied separately. Consider the image below:

asvab elc 2 an2

Each of the four springs in the series is subjected to a force of 10 N, and therefore resembles the case in image (2), compressing 16 cm. Thus, the total compression is the combined compression of all four springs: 4 X 16 cm = 64 cm.

ASVAB Electronics Information Question 3

A power supply outputs 15V at 3A. How much power does it deliver?

Wrong

Wrong

Correct!

Wrong

View Explanation

The correct answer is C: 45W

Power P=V × I = 15V × 3A = 45W.

Observe the following diagram:

ELC Info Q3

ASVAB Electronics Information Question 4

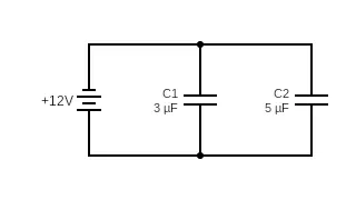
What is the total capacitance in the circuit?

Wrong

Wrong

Correct!

Wrong

View Explanation

The correct answer is C: 8 μF

For capacitors in parallel,
Ct=C1+C2​.

So, Ct=3+5=8 μF.


Electronic Information questions test your knowledge of electricity and your ability to perform calculations. You can find many Electrical Information questions with explanations in our All-Inclusive ASVAB PrepPack.


How to Pass the ASVAB With a High Score

Based on feedback from previous ASVAB-takers, our experts developed a three-step formula to ace the ASVAB test. It includes a proven study plan to help you pass every subtest, even if you’ve been out of school or college for several years. 

Step 1: Take our Full ASVAB Introduction Simulation to identify your strengths and weaknesses. Once you finish the test, you get an instant score report highlighting your weaker areas. You can then form a personalized prep plan based on your score and preferred lines. 

Step 2: Start prepping with focused practice drillsfor each ASVAB section you need help with. These includestep-by-step explanations that demonstrate how to solve every question. Use our guides and detailed explanations to increase your knowledge further. 

Step 3: Finish your preparation with full ASVAB and AFQT Practice Simulations and see your amazing progress. If topics still need improvement, you’ll continue practicing until your final score is excellent. 

For the price beginning at 79$, you can start your practice today. 

The next section comprises two subjects combined – Auto and Shop (in the CAT ASVAB they may be in two different sections – each is as short as half of a full section). The section tests knowledge of automobiles and workshops, which is on the one hand very specific, yet requires wide knowledge in those fields. Let's continue. 


ASVAB Auto and Shop Information Sample Questions

These sections, often combined as Auto & Shop Information in the paper-and-pencil version, assess knowledge and understanding of automobiles, tools, and shop terminology and practices. With 11 questions in 7 minutes for each individual section (CAT-ASVAB) and 25 questions in 11 minutes for the unified section (P&P ASVAB), you must be able to decide on each question quickly.

ASVAB Auto and Shop Information Question 1

What is the primary function of a car's alternator?

Wrong

Correct!

Wrong

Wrong

View Explanation

The correct answer is B: Charing the battery

The alternator recharges the battery while the vehicle is running and powers other electrical systems.

ASVAB Auto and Shop Information Question 2

A "Phillips" and a "flathead" refer to types of what tool?

You can replace the bold word with:

Wrong

Wrong

Correct!

Wrong

View Explanation

The correct answer is C: Screwdrivers

These are types of screwdriver heads. Phillips has a cross shape, while flathead is a straight line.

Philips Screwdriver
Flat Screwdriver

ASVAB Auto and Shop Information Question 3

A car's “check engine” light comes on. What tool can diagnose the reason?

Correct!

Wrong

Wrong

Wrong

View Explanation

The correct answer is A: OBD-II scanner.

An OBD-II scanner can be plugged into a vehicle's OBD-II port to read diagnostic codes, explaining the "check engine" light.

ASVAB Auto and Shop Information Question 4

Which of the following pairs correctly describes a tool and its primary usage?

Correct!

Wrong

Wrong

Wrong

View Explanation

The correct answer is A Hammer: Driver nails; Pliers: Grabs and holds objects.

Hammers are primarily used to drive nails, and pliers are used to grab, hold, or manipulate objects.


Auto and Shop questions require broad knowledge in both fields – which on the one hand, can be considered basic but, on the other, requires a lot of studying and practice. While there are few calculations, questions can be tricky and require you not to dwell too much on each question and be able to perform calculative guesses if required. You can find many Auto and Shop questions with explanations in our All-Inclusive ASVAB PrepPack.

The final section remaining on the ASVAB is Assembling Objects. The section is more like the first four sections – in the term that it does not test specific knowledge but abilities and skills. Visualizing and working with images and figures will require thorough yet quick work. Let's continue.


Applying For An Officer Position in The Air Force?

You will need to take the AFOQT Exam. We have got you covered with everything you will need to ace the test and get your dream job! Please check out our page on the test and learn more about it o our  AFOQT Test PrepPack or study with sample questions with our Free AFOQT Practice.  


ASVAB Assembling Objects Sample Questions

Assembling Objects is designed to test spatial awareness and visualization skills. With 15 questions in 18 minutes (CAT-ASVAB) and 25 questions in 15 minutes (P&P ASVAB), time is not sparse to answer.

ASVAB Assembling Objects Question 1

Observe the following objects:

Assembling Objects Sample 1 - ASVAB

Wrong

Correct!

Wrong

Wrong

View Explanation

The correct answer is B.

ASVAB Assembling Objects Q1 A

ASVAB Assembling Objects Question 2

Observe the following diagram:

Assembly Sample - ASVAB

Which of the figures shown includes all the objects in the top rectangle assembled? Note that the labels (x,y,z) must be paired appropriately, x to x, and so on.

Wrong

Wrong

Wrong

Wrong

Correct!

View Explanation

The correct answer is E.

ASSEMBLING OBJECTS ANSWER 2

ASVAB Assembling Objects Question 3

Observe the following diagram:

 ASVAB Assembling Objects Q3 Q

Which of the following figures includes all the objects assembled? Note that the labeled (A,B,C) must be paired appropriately.

Wrong

Correct!

Wrong

Wrong

View Explanation

The correct answer is B.

Look at the ends marked A. If the ends marked A were put together, how would they look? Of the five pictures, only pictures 1 and 2 have the ends marked A put together. Now look at the ends marked C. Which of the pictures 1 and 2 show that the two places marked C are put together? Of the two, only picture 2 has the places marked C put together.

ASVAB Assembling Objects Question 4

Observe the following diagram:

 ASVAB Assembling Objects Q4

Which of the following figures includes all the objects assembled? Note that the labeled (A,B,C) must be paired appropriately.

Wrong

Correct!

Wrong

Wrong

View Explanation

The correct answer is B.

 ASVAB Assembling Objects Q4 A

Assembling Objects questions are unique – and with 2D and 3D assembling requirements – you must be able to visualize the object and quickly decide on the correct answer. Prior practice is required to be able to visualize images on screen and assemble them to respond quickly and accurately. You can find hundreds of Assembling Objects questions with explanations in our All-Inclusive ASVAB PrepPack.


 

Not what you are looking for? Please contact us, and we will do our best to ensure you get the most accurate preparation for your upcoming assessment.

 

Let’s continue to the first of two verbal sections of the ASVAB and AFQT – Word Knowledge. 

 


Types of ASVAB Tests

  1. CAT-ASVAB (Computer Adaptive Test): This version of the test adjusts the difficulty of questions based on the test taker's responses. It allows for a tailored test experience and provides immediate scores upon completion.
  2. P&P-ASVAB (Paper and Pencil): A traditional version of the test administered with paper and pencil. The test-taker answers all the questions in a fixed format.
  3. ASVAB Career Exploration Program (CEP): an extension of the ASVAB test, aimed not just at those considering military service but also at high school and post-secondary students who are exploring career options.

Get more information on the ASVAB test dates and locations

Also checkout our ASVAB Test Guide.

Get to Know the ASVAB Inside Out

The ASVAB, or Armed Services Vocational Aptitude Battery, consists of several subtests designed to evaluate specific skills and abilities. Here's a brief breakdown of those sections and how scoring works:

Sections of the ASVAB:

  1. General Science (GS): Assesses physical and biological sciences knowledge.
  2. Arithmetic Reasoning (AR): Tests ability to solve arithmetic word problems.
  3. Word Knowledge (WK): Measures understanding of word meanings.
  4. Paragraph Comprehension (PC): Evaluates the ability to understand written material.
  5. Mathematics Knowledge (MK): Assesses high school math principles knowledge.
  6. Electronics Information (EI): Measures knowledge of electronic systems and devices.
  7. Auto and Shop Information (AS): Tests knowledge of automobile mechanics and shop practices.
  8. Mechanical Comprehension (MC): Evaluates understanding of basic mechanical principles.
  9. Assembling Objects (AO): Assesses spatial visualization and tool recognition.  

The test can be divided into the AFQT (Armed Forces Qualifications Score), comprised of the MK, AR, WK, and PC sections, and must be successfully passed to qualify for service in the different branches. The other sections and the four AFQT sections comprise the composite scores, which determine qualification for specific military occupational specialties (MOS).  

You can also study for the un-timed at-home version of the ASVAB test with our PiCAT PrepPack, or learn more on our PiCAT Free Practice page.​

For more detailed information visit our ASVAB PrepPacks guide.

We rely on customer feedback to ensure our PrepPacks stay accurate and suited to match test-taker needs. Do you have questions regarding which PrepPack is best for you? Can't find the PrepPack you're looking for? Let us help! Reach out at info@jobtestprep.com.